DeepMind一篇论文终结十年之争!GPT-5推理靠世界模型

新智元报道
新智元报道
【新智元导读】GPT-5的惊艳之处,不只是写得好,还有超强的推理能力。近期的一个研究揭示了其中的秘密:通用智能体之所以聪明,不是因为参数更大,而是因为它们在脑子里长出了一张「世界模型」。而这张隐形的地图,也正在改变我们对AI的理解。

什么是「世界模型」?简单来说,它就是AI脑子里的预测地图。
对于人类来说,我们的脑子里天生带有预测的功能:
球在桌子边滚动→它可能会掉下去
开车的时候,看到红灯→如果不刹车可能出事故
两个人对话,其中一个人说「我饿了」→下一步很可能是找吃的
那对于AI来说,是怎样的呢?
在过去的十几年里,学界一直在争吵——AI到底能不能只靠模仿(无模型学习),也能解决复杂任务?
「模仿派」认为,只要有足够多的数据+强大的算力,AI就能像条件反射一样给出正确答案。
在GPT-3.5时代,大部分AI的回答都像「背题库」,有时候蒙对,有时候完全错误。
与之相反的则是「思考派」。他们坚持如果没有世界模型,AI永远只是鹦鹉学舌。
一旦问题需要多步逻辑,比如解数学习题、规划一个流程,纯模仿型AI就会掉链子。

最近,有一研究给这些争论按下了终止键:
只要一个智能体真的能完成多步、复杂的目标任务,它的策略里必然隐含了世界模型。
在学术框架里,「目标、策略、世界模型」曾经像一个缺角的三角形。
已知世界模型和目标,可以推导出最优策略;已知策略和世界模型,可以反推出目标。

图1 目标g、策略π、世界模型p之间的三角关系
而现在最后一角也被补齐——只要知道智能体的策略和目标,就能恢复出它的世界模型。
这个推导让「世界模型不可或缺」的结论更加稳固。
也就是说,GPT-5之所以能展现出惊人的推理能力,是因为在训练过程中,它体内的「世界模型」。
可以说,没有世界模型,就没有真正的通用智能。
仅有理论还不够,研究团队决定深入检查。
既然说智能体一定会「长出」世界模型,那么我们能否在实验室里,把这张隐形的「地图」抓出来?
为了验证AI体内是否真的存在世界模型,研究团队设计了一个巧妙的实验。
他们搭建了一个虚拟世界,里面只有几个状态(X、Y),它们会按一定概率互相跳转。
然后研究员将任务交给智能体,让它自己摸索。
最后,研究人员尝试只根据智能体的行为,反推出它脑子里是不是已经学会了这些概率。

图2 智能体-环境系统示意图
刚开始,智能体在简单目标里乱撞,恢复出来的世界模型差错很多,还有一堆错误。
可当任务变得复杂(比如要先到X,再转到Y),情况就完全不同:它会自动搭建出更精细的「转移概率表」。
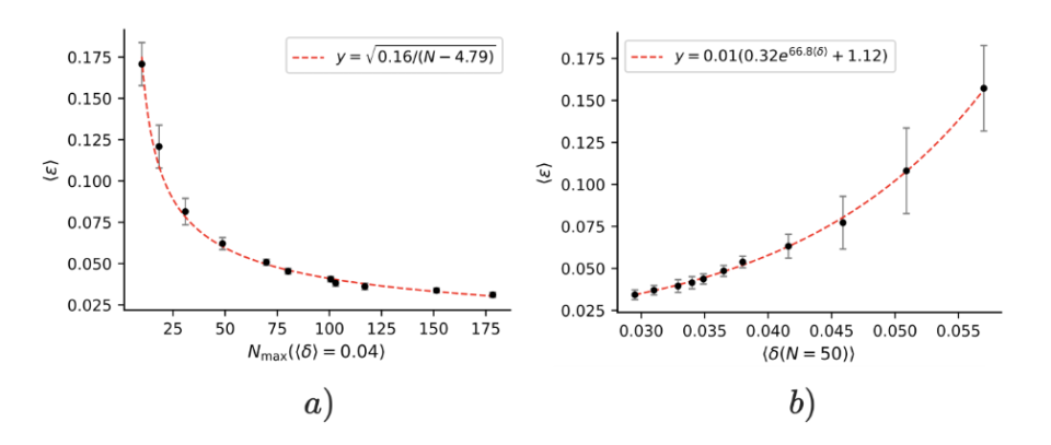
随着任务深度增加,误差迅速下降。

图3 任务复杂度vs世界模型误差曲线
无论是训练样本还是任务深度,结果都一边倒——任务越复杂,世界模型越准确。
实验员还尝试了更复杂的目标组合:智能体需要在不同状态之间来回跳转,才能完成目标。

图4 复合目标实验示意图
结果依旧成立。即使任务被拆解得更复杂,它体内的世界模型依然能被稳定恢复出来。
数学推理也印证了这一点。
实验表明,只要一个智能体在复杂任务里不会频繁犯低级错误,始终能保持有限的「后悔值」,它的策略中就必然已经包含了环境的转移规律。
也就是说——世界模型不是AI的点缀,而是它进化的必需品。
智能体越强,心里的「小九九」就越多。
这就是为什么GPT-5会让人觉得「突然会推理了」,其实是它体内越来越清晰的世界模型。
实验告诉我们:只要AI能完成复杂任务,它的脑子里就一定有一个「世界地图」。
这也解释了近来最热门的现象——所谓的「涌现能力」。
研究表示,这并不是魔法,而是世界模型在任务中逐渐清晰的自然结果。
我们以为GPT-5突然会推理,其实是因为它体内的世界模型在任务中逐渐清晰,于是能力自然显现。
这让人类看到了希望:如果世界模型真的存在,我们或许有机会把它抽离出来,借此理解AI的内心剧场。
未来,当它越来越强时,这可能成为破解黑箱、提升安全性的关键。
但这也埋下了隐忧的种子。
真实世界远比实验室复杂,AI学到的地图也许是模糊不完整的,甚至与人类理解不一致。
可能它觉得安全,而我们觉得危险。
对研究者来说,这也是一个转机。
既然世界模型必然存在,那么我们或许能在未来把它抽取出来,用来解释和验证AI的行为。
这意味着,破解「黑箱」不再只是愿景,而可能有了真正的理论支撑。
所以,GPT-5带来的震惊不只是「它会推理」,更深层的意义在于:AI已经能在脑海里搭建自己的世界地图。
而这张地图,既可能是通向智慧的通行证,也可能是未来不确定性的源头。