生成式科学智能的新标杆:IntelliFold 2新近发布并开源,主要指标实现全面领先
在 GenAI 带动的 “生成式科学智能(Generative Science)” 的新浪潮中,生物基石模型始终是广受关注的热门领域;自然界的生命语言(序列、结构)与人类符号语言呈现类似的序列化特征,但其背后蕴含严苛的物理约束与生物演化逻辑,长期以来难为人类完全破解,同时因其对于人类生产、生活的关键重要作用,使生物基石模型成为领域内广受关注的 “皇冠上的明珠”。
生物基石模型的关键价值,在于其能从海量信息中借助 Transformer 等 GenAI 架构充分打开隐空间,挖掘出人类难以感知归纳却又大有所用的 “生命语法”;DeepMind 旗下的 AlphaFold 系列研究无疑是其中颇具开创性的重大突破。
及至 AlphaFold 3 发布后,其现象级的突破性进展与巨大产业潜力有目共睹,成为毫无争议的行业典范。随后,围绕结构预测及与之密切关联的从头设计应用,全球相继涌现出一批以 GenAI 大模型寻求突破的代表性成果(Chai Discovery、Boltz、OpenFold 等),明星团队、大额融资及至大厂并购(Evolutionary Scale)等积极消息此起彼伏,市场热度持续上涨;但及至 2025 年底,仍鲜有新发模型真正做到与 AlphaFold 3 匹敌[1]。与此同时,受限于开源程度、效能上限、部署便利性等,生物基石模型的进一步普及应用仍面临高性能、高可用的需求端真实考验。

在生物基石模型的全球激烈竞逐中,IntelliGen AI 于本周末正式发布了 IntelliFold 2,这是继 2025 年 7 月 IntelliFold 首版发布后的一次重大升级 [2]。
通过从 GenAI 内在逻辑出发的诸多创造性思考与重新设计,以及诸多工程化模块的突破性创新,IntelliFold 2 成功实现了高效能与多功能的全面突破,在 FoldBench 基准测试中给出了超越 AlphaFold 3 主要指标的优秀表现;在抗体 - 抗原相互作用、蛋白 - 配体共折叠等影响药物研发成败的关键任务上,IntelliFold 2 也树立了全新的行业性能标杆,为智能药物设计提供了可控、高精度的工业级引擎。
免费试用地址:https://server.intfold.com/
核心突破:在关键性能指标上全面超越 AlphaFold 3

在生命科学领域,复合物共折叠(Co-folding)预测一直是核心挑战。IntelliFold 2 在两个关键任务中取得显著进步,超越 AlphaFold 3、Chai、Boltz 等主流模型:
抗体 - 抗原相互作用:以 DockQ > 0.23 为成功标准,IntelliFold 2-Pro 达到 58.2% 的成功率(报告的 v2 模型结果为 5 次运行的平均值,最高分数达 63%),相较 AlphaFold 3 的 47.9% 展现出显著的性能进步。这一逾 10 个百分点的提升,意味着在抗体筛选阶段,模型能够更稳健地迈过可用性门槛,进而减少湿实验试错成本,精准锁定高潜力候补分子。
蛋白质 - 配体共折叠:在该任务中,IntelliFold 2-Pro 同样以 67.7% 的成功率击败 AlphaFold 3(64.9%)及 Boltz 等其他主流模型 。这一精度的稳步提升对于基于结构的小分子药物设计至关重要,不仅有助于提高虚拟筛选的命中率,也为后续亲和力预测、别构靶点捕捉等具体任务打下了坚实基础。
IntelliFold 2 的发布,通过 v2-Flash、v2 和 v2-Pro 三个版本,精准覆盖了从学术微调到工业落地的多元需求。目前已正式开源 v2-Flash 与 v2 两个版本。其中,v2 版本作为目前精度最高的开源模型之一,将为全球科研人员提供性能卓越的结构预测底座,大幅降低高性能生物计算的门槛 。
“智能” 为径,开启范式迭代:四大创新重塑新一代基座
IntelliFold 2 的核心突破,源于对 “信息表征能力” 和 “硬件计算特性” 的重新思考。针对共折叠(Co-folding)这一颇具挑战性的核心任务,团队并未因循传统的 “强数据堆砌” 或单一的 “专家经验注入” 路径,而是寻求生命分子微观交互规律与 AI 计算范式的深度融合,以更好的实现 “底层模型智能” 对 “下游任务智能” 的赋能。

Scaling Law 在生物计算的验证:通过 Latent Space Scaling 技术,团队扩展了 PairFormer 模块的特征维度,不仅增强了模型对复杂生物大分子相互作用的表征能力,更大幅优化了计算效率,将 GPU 的计算利用率(MFU)从 5% 提升至 30%。这种算力投入带来了较高的边际效益,以可接受的时间成本,换取了对复杂结构表征能力的显著提升。
原子级别的精细感知:针对抗体 CDR 区域等柔性、易变的结构,传统粗粒度建模方法往往难以精确建模。IntelliFold 2 引入了随机原子级 Tokenization,让模型在训练中学会捕捉细粒度的原子接触模式。这种 “显微镜” 级别的感知力,弥补了宏观表征在局部细节上的缺失,成为其在抗体预测任务中领先的关键。
强化学习引导的采样优化:为了解决扩散模型采样在结构预测任务中的不稳定性,团队引入基于 PPO 算法的强化学习进一步优化扩散模型。通过将扩散过程建模为随机策略并进行微调,IntelliFold 2 有效校正了采样轨迹的偏移,减少了不准确结构的生成,为实际应用提供了可靠的工业级预测结果。
难度感知的损失函数:针对复合体中链间距离预测等高难度区域,IntelliFold 2 采用了难度感知的损失函数。通过动态调整损失函数权重,引导模型专注于那些容易被忽略的长尾困难区域。这种优化改善了训练收敛稳定性,提升了模型在处理复杂多链复合物时的稳定性。
IntelliFold 2 的技术迭代体现了生成式科学的研发新范式,它既不依赖传统专有数据注入或专家调优,也非单纯的对 Transformer block 堆叠提升参数量,而是结合对领域科学和模型的综合深入理解,找到好的 scaling 的角度,遵循智能涌现的底层逻辑,求解稳定可泛化的有效性能提升;否则,单纯堆砌算力和参数量或者机械地对跨领域先验经验进行迁移放大依然达不到好的效果。
灵活可用:从可控预测到应用问题解决的领先实践
IntelliFold 2 不仅仅实现了精度的提升,还体现了对于可用性的强调:通过通用基础模型、轻量适配器(LoRA)与任务引导,形成闭环推理链路,连接结构预测与诸多功能发现。这超越了传统单模型 - 单任务开发逻辑,以统一基石模型 - 多任务的架构,开创性拓展了结构模型的效能场景与价值链条。同时,这一架构设计也允许领域科学家注入假设、约束和数据,为研究人员进行可控、精准且具有预见性的任务开发打下了创新支点。藉由此次基石模型更新,IntelliFold 2 在蛋白 - 配体亲和力预测、别构靶点虚筛等应用问题上充分展示出显著更优且卓有价值的行业应用潜力。
1. 亲和力预测(小分子)
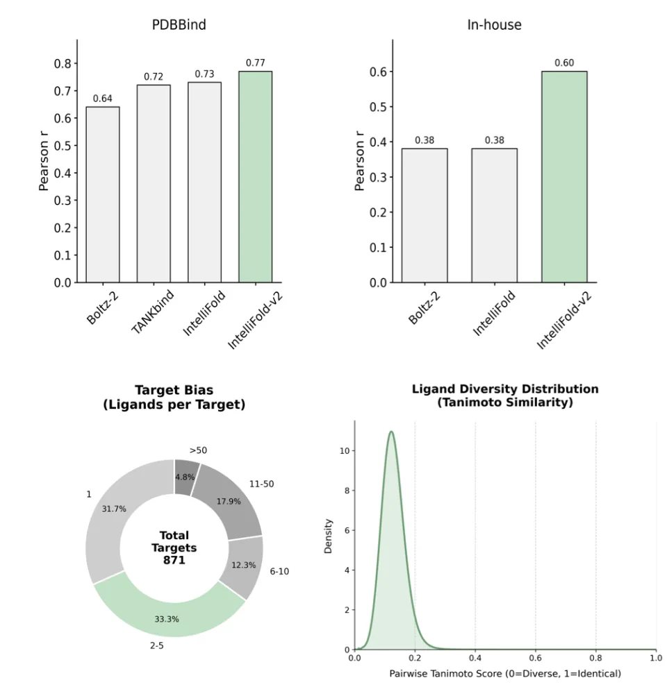
IntelliFold 2 延续了初版的高保真亲和力预测能力,不但在 PDBBind 数据集性能优于 Boltz-2 及模型初代版本,还在更接近产业真实任务的复杂 In-house 数据集上亲和力预测表现(Pearson r = 0.60)显著领先 Boltz-2 等开源模型 (0.38)。结合 IntelliFold 特有的别构和表位分析能力,已经形成 “预测结构→估计结合→指导设计” 的完整闭环,并在真实案例中帮助合作伙伴在分子筛选任务上实现了效率与精度的大幅提升以及高难靶点的突破进展。

2. 动态捕捉靶点(别构效应)
在生命的微观世界里,蛋白质的功能并非由静态结构决定,而是源于其在复杂能量景观中的动态构象调控。其中,别构效应是最具代表性的机制之一:只需在蛋白质的一端轻轻拨动 “开关”,就能通过构象的连锁反应控制另一端的生化活性。虽然这为药物研发提供了巨大的想象空间,但由于其高度的动态性和复杂性,寻找此类药物靶点如同大海捞针。
IntelliFold 2 构建了一套 “微观原子精度” 与 “宏观构象一致性” 协同的表征体系:在微观层面,它能以原子级分辨率捕捉氨基酸侧链的细微偏移;在宏观层面,则能维持蛋白质整体拓扑结构的物理合理性。以此通用表征为基石,通过针对性地引入别构数据进行高效微调,模型进一步习得了解析复杂别构效应的能力。

借助这一特殊机制的引入,IntelliFold 2 实现了在真实任务上别构位点筛选能力,并作为其动态靶点预测能力的首个应用案例;后续成功帮助合作伙伴实现了基于别构结合的候选分子重新筛选,最终以特定靶点优秀成功率(高至 67%)实现多问题全部命中,并成功转化至后续环节 asset 开发。
结语 ——“Answer ball” from the East
在语言智能(Language Intelligence)和有形智能(Physical Intelligence)两大领域,近年来的新一波 GenAI 浪潮持续带来猛烈冲击与快速变革迭代,我们正亲历着一场将空前改变生产与生活的智能大变革。围绕着大语言模型、具身智能、自动驾驶等赛道与产业的发展热潮,我们欣喜地看到全球科技竞争的高速迭代和诸多优秀成果的不断涌现,中国科技力量持续追赶甚至并驾齐驱;
然而在关联诸多领域科学和生产力前沿的 “生成式科学智能” 领域,尤其是在相对高光的生命科学方向,不同于北美市场后 AlphaFold 3 时代模型探索的百花齐放,目前在全球其他地区能够直接可比的基模成果并不多见。受限于生物基石模型的高算力消耗门槛、LLM 与生物背景的复合人才需求,大中华地区也更多是 Biomap、百度、字节跳动等互联网大厂背景团队在持续参与并取得阶段性成果。
IntelliFold 2 的发布,及其模型 SOTA 表现与开源举措,无疑是一记令人振奋的 “Answer ball”。这表明围绕生成式科学的全球竞赛,新兴团队仍然有机会加入竞争,甚至取得领先的卓越表现。
据悉,得益于强大的基石基础模型进展,IntelliGen AI 首版针对 Binder 和抗体的从头设计(De novo design)模型也即将于 2026 年中适时发布,进而实现预测与生成的统一,进一步加速药物研发与生命科学探索的进程。
未来,围绕生物基石模型的全球竞争无疑将更加激烈;希望新一代际的创新者们能够实现 “科技有效”,驱动 “智能药物设计时代” 的真正到来。
[1]Xu, S., Feng, Q., Qiao, L. et al. Benchmarking all-atom biomolecular structure prediction with FoldBench. Nat Commun 17, 442 (2026). https://doi.org/10.1038/s41467-025-67127-3
[2]https://github.com/IntelliGen-AI/IntelliFold